Chapter 4
Generalisations and Approximations
The most obvious generalisation of equation 1.1 is to consider representations of one power in terms of a different power, such as
(4.1)
Definition: Let S(m,n) be the minimum value of k for which equation 4.1 has a non-trivial solution when both m and n are greater than 1. Thus s(m) = S(m,m). Without loss of generality, we shall assume that y1 ³ y2 ³ ...... ³ yk and, when m = n, that x > y1.
For equation 4.1, I have switched the sum to the left hand side of the equality, purely for convenience as it allows me to introduce an additional generalisation. Consider the Fermat Equation xn + yn = zn for n > 1. We know that this has no solutions in positive integers apart from when n = 2. However, it is interesting to speculate on how close an approximation may be achieved. Specifically, let us consider the following extension of equation 4.1
(4.2)
Definition: Let e(k,m,n) be the smallest absolute value of d for which a non-trivial solution of equation 4.2 exists. In effect, this is the error margin between powers m and n for a particular length k. We can the redefine S(m,n) as the smallest value of k for which e(k,m,n) = 0.
In the case that gcd(m,n) = 1, it is appropriate to consider the case k = 1, which would not normally be of interest.
Before presenting known results, it is appropriate to clarify what we consider a non-trivial solution, including the cases where d = 0, and that is one which cannot be derived from any other solution (with the same or different powers m and n) by multiplication by a constant, or use of a simple parametric formula, or where d is the sum of a subset of the y’s, or where d would be smaller if one of the y’s was removed, giving a solution for a smaller value of k, trivial or otherwise. In the case k = 1, any (m*n)th power is both an mth power and and nth power and so any solution with gcd(m,n) > 1 is trivial. For completeness, we shall also consider solutions to be trivial if x = y1 or x = 1 or y1 = 1.
In the case d = 0, it is always possible to generate solutions whenever gcd(m,n) = 1 for any value of k. For example, consider m = 3, n = 7 and k = 2. Choose a random sum of two cubes, e.g. 33 + 23 = 27 + 8 = 35 = 5.7. All we then require is to find z such that z3.(33 + 23) is a 7th power. To do this we require z = 5a.7b so that z3.5.7 = 53a+1.73b+1 = 57p.77q = (5p.7q)7, i.e. that 7 divides both 3a+1 and 3b+1. We can choose a = 2, so that p = q = 1. We then have z = 52.72 = 1225, so then (3z)3 + (2z)3 = (5.7)7, i.e. the derived solution 36753 + 24503 = 357. In order to exclude such solutions, we therefore demand than when d = 0 in equation 4.2, the greatest common factor of x and all the yi is greater than 1, otherwise the solution is derived and trivial.
Note that for k = 2, most searches will be to the stated limit, with y1 up to 3000 as preferred minimum. For k = 3, searches take y1 up to at least 250, k = 4 with y1 up to at least 100, k = 5 with y1 up to 50 and k = 6 with y1 up to 25. In the k = 1 case, limits will be well in excess of 10000. Also, for k = 1, we consider only m > n since e(1,m,n) = e(1,n,m) by subtracting d from each side of a solution equation.
The normal method of finding solutions of equation 4.2, in which we hope to find examples with d = 0 but must allow for non-zero errors, is by a brute force, exhaustive search that considers every possibility for each of the yi. Once the overall picture is built up, we then try to improve bounds on S(m,n) directly by using a modified version of the decomposition algorithm from Chapter 1.
Consider n = 2.
For k = 1 and m = 3, the equation 23 = 32 - 1 gives e(1,3,2) = 1.
For k = 1 and m = 5, the equation 15 = 22 - 3 is considered trivial. After this, the closest known is 25 = 62 - 4.
For k = 1 and m = 7, the equation 27 = 112 + 7 gives the best result.
For k = 2 and m = 2, there is an infinity of solutions for d = 0, i.e. the Pythagorean triples, and so S(2,2) = 2. For completeness, the smallest example is 32 + 42 = 52.
For k = 2 and m = 3, there are 27 solutions with d = 0 for y1 up to 10000, the smallest being 23 + 13 = 32, and the largest being 92653 + 21843 = 8976232. Thus S(3,2) = 2. A variety of parametric solutions in 2 unknowns exist, but are not defined in such a way that sequential enumeration can be done.
For k = 2 and m = 4, a straightforward argument based on a method of Fermat shows that e(2,4,2) ¹ 0. However, there are 87 solutions with d = 1 for y1 up to 10000, the smallest being 74 + 54 = 552 + 1 and the largest being 99014 + 53334 = 1020721612 + 1. Simple congruence rules imply that there are no solutions for d = - 1.
For k = 2 and m = 5, and y1 up to 8120, there are two solutions with d = 2. These are 35 + 35 = 222 + 2 and 1115 + 875 = 1477662 + 2. Hence e(2,5,2) £ 2. Other solutions exist for d = - 3, 4, - 4, - 5, 6 and - 6.
For k = 2 and m = 6, we have 316 + 296 = 385012 +1, giving e(2,6,2) £ 1. Any solution for m = 6 gives rise to a solution for m = 3 by squaring the y’s.
For k = 2 and m = 7, the best result at present is 47 + 47 = 1812 + 7.
For k = 3 and m = 3, there are many solutions with d = 0. The smallest is 33 + 23 + 13 = 62 and the smallest with none of the y’s equal to 1 is 143 + 93 + 23 = 592. A particularly interesting solution is 253 + 243 + 233 = 2042, and in general it may be worth restricting the form of the y’s when looking for solutions in this case.
For k = 3 and m = 4, the equation 204 + 154 + 124 = 4812 is the only solution for d = 0 with y1 up to 100. However, it does give us the result that S(4,2) = 3.
For k = 3 and m = 5, there are trivial parameterisable solutions with d = 1 and d = - 1, as well as non-trivial solutions. However, there are 4 solutions with d = 0. These are 695 + 495 + 35 = 429712, 815 + 685 + 205 = 703132, 975 + 805 + 195 = 1089342 and 975 + 835 + 165 = 1119262. Thus S(5,2) £ 3, with equality most likely.
For k = 3 and m = 6, there is a trivial parameterisable solution with d = - 1. There are also non-trivial solutions with d = 1 and 2, e.g. 36 + 36 + 26 = 392 + 1, 56 + 46 + 36 = 1432 + 1, 256 + 256 + 246 = 260652 + 1, 56 + 56 + 46 = 1882 + 2 and 196 + 116 + 36 = 69872 + 2. However, we have S(6,2) £ 3 since 1006 + 816 + 426 = 11348652.
For k = 3 and m = 7, there are trivial parameterisable solutions with d = 1 and d = - 1. The best non-trivial result available at present is e(3,7,2) £ 4, using 57 + 47 + 47 = 3332 + 4.
For k = 4, there is a general parameterisable solution given by
![]()
for any positive integers x and y. Thus it could be said that S(m,2) £ 4 for all m. We have two choices: either ignore the k = 4 case for n = 2, or search for non-parameterised solutions. In the current situation, we are only interested in the m = 7 case since we have already proved that S(m,2) £ 3 for m £ 6. We will therefore push ahead searching for such solutions, as follows.
For k = 4 and m = 7, there are surprisingly many non-trivial solutions with small d, e.g. 277 + 247 + 217 + 137 = 1300412 + 4 and 407 + 317 + 277 + 47 = 4492362 + 2. However, the solutions 747 + 597 + 177 + 47 = 38262702 and 787 + 517 + 427 + 257 = 43243062 are found for y1 up to 100, and allow us to state that indeed S(7,2) £ 4.
Consider n = 3.
For k = 1 and m = 5, the equation 25 = 33 + 5 gives the best result.
For k = 1 and m = 7, the equation 27 = 53 + 3 gives the best result.
For k = 2 and m = 2, there are 80 solutions with d = 0 for y1 up to 10000, the smallest being 112 + 22 = 53 and the largest being 98302 + 11592 = 4613. Thus S(2,3) = 2.
For k = 2 and m = 3, Fermat’s Last Theorem implies that there is no solution for d = 0. The case for third powers only was first proved by Euler. However, there are 16 solutions with d = 1, the smallest being 103 + 93 = 123 + 1 and 16 solutions with d = - 1, the smallest being 83 + 63 = 93 - 1, with y1 up to 10000. Thus e(2,3,3) = 1. Of these, 5 solutions each of each sign result directly from the related parameteric solutions
(32b4)3 + (32b3 + 1)3 = (32b4 + 3b)3 + 1 and (32b4 - 3b)3 + (32b3 - 1)3 = (32b4)3 - 1.
There is also a parameterisable solution for d = - 2, (6p3 - 1)3 + (6p2)3 = (6p3 + 1)3 - 2.
For k = 2 and m = 4, the first non-trivial solution with small error is 24 + 24 = 33 + 5.
For k = 2 and m = 5, the only non-trivial solution with small error is 55 + 35 = 153 - 7.
For k = 2 and m = 6, the only non-trivial solution with small error is 26 + 26 = 53 + 3.
For k = 2 and m = 7, the only non-trivial solution with small error is 37 + 17 = 133 - 9, which is not trivial as the addition of a 1 decreases the error from a k = 1 solution. The solution 27 + 17 = 53 + 4 is considered trivial as it is based on a k = 1 solution and the error is increased.
For k = 3 and m = 3, many non-trivial solutions exist with d = 0, some of which belong to parameterisable groups. Hence S(3,3) = 3. The smallest solution is 53 + 43 + 33 = 63. Other notable solutions are 83 + 63 + 13 = 93 (related to the k = 2 solution), 223 + 173 + 43 = 253 and 743 + 483 + 253 = 813, which all give solutions for n = 6 as well as n = 3.
For k = 3 and m = 4, there is one known solution with d = 0, i.e. 54 + 54 + 34 = 113. Thus S(4,3) £ 3, with equality likely. Four solutions exist with d = 1 for y1 up to 100. These are 224 + 164 + 114 = 683 + 1, 784 + 684 + 114 = 3883 + 1, 824 + 534 + 484 = 3883 + 1 and 874 + 824 + 64 = 4683 + 1.
For k = 3 and m = 5, there are several small solutions with d = 6 and d = - 6, but the best result available is 815 + 745 + 155 = 17873 - 3. Thus e(3,5,3) £ 3.
For k = 3 and m = 6, the solution 256 + 236 + 66 = 7323 + 2 gives e(3,6,3) £ 2.
For k = 3 and m = 7, the solution 37 + 17 + 17 = 133 - 8 gives the best result at present. As with the k = 2 case above, this is not considered a trivial solution. However, the best result not based on a previous solution is 157 + 57 + 47 = 5553 + 9.
For k = 4 and m = 5, we have 45 + 35 + 25 + 25 = 113, and so s(5,3) £ 4. A larger example is 485 + 85 + 55 + 35 = 6343. An interesting near miss is 65 + 55 + 45 + 35 = 233 + 1. Solutions exist for most small d.
For k = 4 and m = 6, the earliest result is 36 + 36 + 36 + 16 = 133 - 9, which is far from ideal since the k = 3 case provides a solution for d = 2. Purer solutions include 86 + 66 + 56 + 46 = 693 + 12 and 456 + 446 + 436 + 196 = 27993 + 12, followed by 566 + 336 + 276 + 126 = 31923 + 10. There is also a prevalence of solutions with d = - 23. However, the current best results are for d = 3, e.g. 576 + 196 + 196 + 106 = 32523 + 3 and 686 + 536 + 256 + 156 = 49503 + 3.
For k = 4 and m = 7, the best result is 37 + 17 + 17 + 17 = 133 - 7, and the second best is 107 + 67 + 57 + 37 = 2183 + 16.
For k = 5 and m = 6, we first have solutions for d = 4, i.e. 56 + 56 + 36 + 36 + 26 = 323 + 4 and 236 + 216 + 156 + 76 + 46 = 6263 + 4, followed by neighbouring solutions for d = 2, namely 286 + 216 + 156 + 106 + 66 = 8343 + 2 and 286 + 216 + 166 + 166 + 36 = 8443 + 2.
For k = 5 and m = 7, the best result is 37 + 17 + 17 + 17 + 17 = 133 - 6.
For k = 6 and m = 6, we have 106 + 96 + 76 + 76 + 46 + 36 = 1213 + 3, and also 5 solutions for d = - 3, the largest of which is 256 + 226 + 116 + 76 + 56 + 26 = 7113 - 3.
For k = 6 and m = 7, we have 207 + 77 + 27 + 27 + 27 + 27 = 10863 - 1. Thus e(6,7,3) £ 1 and we obviously also have that S(7,3) £ 7, adding 1 to each side.
Consider n = 4.
For k = 1 and m = 3, the best result is 33 = 24 + 11.
For k = 1 and m = 5, the best result is 35 = 44 - 13.
For k = 1 and m = 7, the best result is 27 = 34 + 47.
For k = 2 and m = 2, there are many solutions with d = 0, which can be extracted from the lists of Pythagorean triples, e.g. 242 + 72 = 54, 1202 + 1192 = 134 and 2402 + 1612 = 174. Thus S(2,4) = 2.
For k = 2 and m = 3, there are several solutions with small d, the best current result being 633 + 313 = 234 - 3. Thus e(2,3,4) £ 3. Another close call is 2574 + 1474 = 673 - 5.
For k = 2 and m = 4, the argument for n = 2 still holds and so e(2,4,4) ¹ 0. The closest that we get at present is 54 + 54 = 64 - 46.
For k = 2 and m = 5, the best result is 35 + 15 = 44 - 12, which is related to a k = 1 solution. Apart from this, the best is 25 + 25 = 34 - 17.
For k = 2 and m = 6, the best result is 26 + 16 = 34 - 16.
For k = 2 and m = 7, the best result is 37 + 27 = 74 - 86.
For k = 3 and m = 3, there are quite a few solutions with d = ± 1, but we also have the equations 203 + 173 + 123 = 114 and 743 + 483 + 253 = 274, so that S(3,4) £ 3.
For k = 3 and m = 4, Elkies proved that e(3,4,4) = 0 and so S(4,4) = 3. The smallest solution with d = 0 is 4145604 + 2175194 + 958004 = 4224814, which was found using the very tight congruence restrictions that can be applied in this case. Without these restrictions, the closest we get to this for small x is 474 + 224 + 214 = 484 + 2.
For k = 3 and m = 5, the best result is 45 + 35 + 25 = 64 + 3.
For k = 3 and m = 6, the best result is 26 + 16 + 16 = 34 - 15.
For k = 3 and m = 7, the best result is 47 + 37 + 37 = 124 + 22.
For k = 4 and m = 5, the earliest close calls are 85 + 75 + 45 + 25 = 154 + 6 and 95 + 55 + 55 + 35 = 164 + 6. However, the solution 1045 + 725 + 525 + 455 = 3484 - 3. provides the current best result.
For k = 4 and m = 6, the best result is 216 + 186 + 116 + 36 = 1054 + 10.
For k = 4 and m = 7, the best result is 97 + 57 + 47 + 37 = 474 - 16.
For k = 5 and m = 5, there are many solutions for small d, but the most important are 55 + 35 + 35 + 35 + 35 = 84 + 1,
225 + 225 + 155 + 125 + 45 = 584 - 1 and 395 + 225 + 215 + 145 + 35 = 1004 - 1. Thus e(5,5,4) £ 1 and S(5,4) £ 6.
{N.B. Further studies provide the result 1855 + 1695 + 1095 + 465 + 15 = 7804, so that, in fact, S(5,4) £ 5.}
For k = 5 and m = 6, the best result is 96 + 86 + 56 + 36 + 26 = 304 + 3. Another close solution is 316 + 276 + 266 + 236 + 56 = 2044 + 4.
For k = 5 and m = 7, the best early results are for d = ± 15, given by 27 + 27 + 27 + 27 + 27 = 54 + 15 and 97 + 57 + 47 + 37 + 17 = 474 - 15, the latter based on the k = 4 solution. However, we have e(5,7,4) £ 7 since we have 317 + 147 + 137 + 117 + 107 = 4084 + 7.
For k = 6 and m = 6, we have e(6,6,4) £ 1 since 96 + 86 + 76 + 46 + 46 + 46 = 314 + 1.
For k = 6 and m = 7, the best result is 167 + 137 + 107 + 77 + 57 + 47 = 1364 + 9.
Consider n = 5.
For k = 1 and m = 7, the best result is 27 = 35 - 115.
For k = 2 and m = 2, there are 6 solutions with d = 0, for y1 up to 9390. The smallest is 412 + 382 = 55 and the largest is 61212 + 56462 = 375. Hence S(2,5) = 2.
For k = 2 and m = 3, for y1 up to 4000 we have e(2,3,5) £ 2 since 2713 + 2393 = 325 - 2.
For k = 2 and m = 4, the only non-trivial solution with d < 81 is 224 + 114 = 125 + 65.
For k = 2 and m = 5, Fermat’s Last Theorem imples that e(2,5,5) ¹ 0, with the particular case for 5th powers proved independently by both Dirichlet and Legendre. The surprisingly good current best estimate is that e(2,5,5) £ 12 given by 165 + 135 = 175 + 12, with a search range of y1 up to 4346.
For k = 2 and m = 6, the best result is 26 + 26 = 35 - 115.
For k = 2 and m = 7, the best result is 27 + 27 = 35 + 13.
For k = 3 and m = 3, there are several solutions with d = ± 1. However there are two with d = 0. These are 773 + 573 + 493 = 155 = 863 + 403 + 393. Thus S(3,5) £ 3.
For k = 3 and m = 4, we have 84 + 74 + 64 = 65 + 17, then 104 + 94 + 44 = 75 + 10, then 194 + 124 + 104 = 115 + 6, but the best result so far known is e(3,4,5) £ 1 since we have 804 + 664 + 274 = 365 + 1. A proportionally very close solution is given by the equation 3714 + 3694 + 2754 = 1345 + 3.
For k = 3 and m = 5, we have 45 + 45 + 45 = 55 - 53 and 135 + 135 + 75 = 155 + 18.
For k = 3 and m = 6, the best result is 26 + 26 + 26 = 35 - 51.
For k = 3 and m = 7, the best result is 27 + 17 + 17 = 35 - 113.
For k = 4 and m = 4, we have 334 + 334 + 174 + 124 = 195 = 374 + 264 + 194 + 114 as a dual solution for d = 0 and so S(4,5) £ 4.
For k = 4 and m = 5, Lander and Parkin’s first known counterexample to Euler’s Conjecture, 1335 + 1105 + 845 + 275 = 1445, gives us S(5,5) £ 4.
For k = 4 and m = 6, the best result is 26 + 26 + 26 + 26 = 35 + 13.
For k = 4 and m = 7, the best result is 47 + 27 + 27 + 27 = 75 - 39.
For k = 5 and m = 6, the best result is 56 + 56 + 36 + 36 + 26 = 85 + 4.
For k = 5 and m = 7, the best result is 47 + 27 + 27 + 27 + 17 = 75 - 38.
For k = 6 and m = 6, the best result is 86 + 66 + 56 + 56 + 56 + 56 = 135 + 7.
For k = 6 and m = 7, the best result is 47 + 27 + 27 + 27 + 17 + 17 = 75 - 37.
Consider n = 6.
For k = 1 and m = 7, the best result is 47 = 56 + 759.
For k = 2 and m = 2, there are 3 solutions for d = 0 with y1 up to 10000. They are 1172 + 442 = 56 , 20352 + 8282 = 136 and 48882 + 4952 = 176. These can be lifted directly from the solution list for n = 3. Thus S(2,6) = 2.
For k = 2 and m = 3, we use the n = 3 results to get e(2,3,6) = 1 using 83 + 63 = 36 - 1.
For k = 2 and m = 4, the best non-trivial solution is 54 + 34 = 36 - 23.
For k = 2 and m = 5, the best result is 55 + 45 = 46 + 53.
For k = 2 and m = 6, the best approximation to Fermat’s equation is 86 + 86 = 96 - 7153 if we ignore the unsatisfactory 26 + 26 = 36 - 601.
For k = 2 and m = 7, the best result is 37 + 37 = 46 + 278.
For k = 3 and m = 3, we use the n = 3 results to get S(3,6) = 3, using, for example 83 + 63 + 13 = 36 or 223 + 173 + 43 = 56.
For k = 3 and m = 4, the best result is 54 + 34 + 24 = 36 - 7.
For k = 3 and m = 5, the best result is 65 + 65 + 25 = 56 - 41.
For k = 3 and m = 6, the best result is 56 + 56 + 56 = 66 + 219.
For k = 3 and m = 7, the best result is 27 + 27 + 27 = 36 - 345.
For k = 4 and m = 4, we have several solutions for d = 3, 234 + 214 + 134 + 134 = 96 + 3, 294 + 204 + 194 + 74 = 106 + 3, 514 + 274 + 214 + 144 = 146 + 3 and 1114 + 714 + 614 + 144 = 246 + 3. However, we have that S(4,6) £ 4 with the triple solution 614 + 564 + 264 + 44 = 624 + 474 + 464 + 84 = 674 + 444 + 224 + 84 = 176.
For k = 4 and m = 5, we have e(4,5,6) £ 2 since 195 + 125 + 115 + 105 = 126 - 2.
For k = 4 and m = 6, the best result is 126 + 116 + 116 + 106 = 146 - 430.
For k = 4 and m = 7, the best result is 27 + 27 + 27 + 27 = 36 - 217.
For k = 5 and m = 4, the situation is moot given the k = 4 solutions. However, for completeness, there are solutions with d = 3, 2 and 1, and the triple solution for d = 0 of
164 + 144 + 104 + 74 + 64 = 76, 184 + 104 + 64 + 64 + 34 = 76, 184 + 104 + 74 + 44 + 24 = 76.
For k = 5 and m = 5, we have e(5,5,6) £ 1 since 55 + 35 + 35 + 35 + 35 = 46 + 1 and 195 + 125 + 115 + 105 + 15 = 126 - 1. We also have 275 + 175 + 155 + 125 + 35 = 166 - 2.
For k = 5 and m = 6, the best result is 126 + 116 + 116 + 106 + 36 = 146 + 299.
For k = 5 and m = 7, the best result is 27 + 27 + 27 + 27 + 27 = 36 - 89.
For k = 6 and m = 6, the n = 3 solution with d = 3 above gives an n = 6 solution.
For k = 6 and m = 7, 27 + 27 + 27 + 27 + 27 + 27 = 36 + 39.
Consider n = 7.
For k = 2 and m = 2, we have 352 + 312 = 37 - 1, followed by the triple solution 922 + 892 = 1032 + 762 = 1272 + 162 = 47 + 1. The smallest solution for d = 0 is 2782 + 292 = 57, and so we have S(2,7) = 2.
For k = 2 and m = 3, the best result is 53 + 13 = 27 - 2.
For k = 2 and m = 4, the best result is 234 + 34 = 167 - 14.
For k = 2 and m = 5, the best result is 45 + 45 = 37 - 139.
For k = 2 and m = 6, the best result is 56 + 36 = 47 - 30.
For k = 2 and m = 7, we know from Fermat’s Last Theorem that e(2,7,7) ¹ 0, with the particular case for 7th powers proved by Lame. The best result is 57 + 57 = 67 - 123686 if we avoid the unsatisfactory 27 + 27 = 37 - 1931.
For k = 3 and m = 3, there are several solutions for small d. We have e(3,3,7) £ 1 given by the unsatisfactory 53 + 13 + 13 = 27 - 1 and the satisfactory 113 + 83 + 73 = 37 - 1 and 1563 + 803 + 783 = 97 - 1.
For k = 3 and m = 4, we have 144 + 144 + 64 = 57 + 3 and 234 + 34 + 24 = 67 + 2.
For k = 3 and m = 5, we have e(3,5,7) £ 7 with the solution 215 + 145 + 115 = 97 + 7.
For k = 3 and m = 6, the best result is 56 + 36 + 16 = 47 - 29.
For k = 3 and m = 7, the best result is 37 + 37 + 37 = 47 - 9823 if we avoid the unsatisfactory 27 + 27 + 27 = 37 - 1803.
For k = 4 and m = 3, we have 53 + 13 + 13 + 13 = 27 and 113 + 83 + 73 + 13 = 37. Hence we have S(3,7) £ 4. There are also solutions for all d = ± 1, ± 2, ± 3 and ± 4. The next d = 0 solution is 563 + 463 + 193 + 53 = 67. There are seven separate solutions for d = 0 at x = 7.
For k = 4 and m = 4, we have 34 + 24 + 24 + 24 = 27 + 1 and 344 + 254 + 244 + 144 = 87 + 1 suggesting that e(4,4,7) £ 1. Larger solutions for small d include 1134 + 814 + 804 + 684 = 167 + 2 and 1464 + 1424 + 1254 + 1154 = 207 + 2. However, we have S(4,7) £ 4 with the equation 1264 + 1114 + 504 + 224 = 177.
For k = 4 and m = 5, the best result is 45 + 45 + 25 + 25 = 37 - 75.
For k = 4 and m = 6, the best result is 56 + 36 + 16 + 16 = 47 - 28.
For k = 4 and m = 7, the best result is 37 + 37 + 37 + 37 = 47 - 7636 if we avoid the unsatisfactory 27 + 27 + 27 + 27= 37 - 1675.
For k = 5 and m = 4, given the k = 4 case, we would hope that solutions exist for d = 0. However, at present there are several solutions with d = 2, e.g. 214 + 154 + 124 + 104 + 84 = 67 + 2, 404 + 404 + 404 + 394 + 94 = 107 + 2 and 554 + 264 + 244 + 154 + 104 = 107 + 2, and the best current result of 604 + 454 + 354 + 314 + 74 = 117 + 1.
For k = 5 and m = 5, we have 95 + 75 + 45 + 45 + 35 = 57 + 22 followed by 205 + 175 + 115 + 45 + 45 = 97 - 13 and then 255 + 115 + 85 + 85 + 65 = 107 - 12. The solution 615 + 335 + 255 + 135 + 55 = 197 - 2 gives e(5,5,7) £ 2.
{N.B. Further searches locate the solution 5055 + 3155 + 2665 + 2125 + 1155 = 877, giving S(5,7) £ 5.}
For k = 5 and m = 6, a good early result is 86 + 56 + 36 + 36 + 36 = 67 + 20. However, the current best is 446 + 386 + 246 + 106 + 106 = 277 + 13.
For k = 5 and m = 7, the best result is 97 + 97 + 67 + 57 + 57 = 107 + 2124 is we ignore the unsatisfactory 27 + 27 + 27 + 27 + 27 = 37 - 1547. The only other remotely close solution is 307 + 267 + 267 + 237 + 207 = 337 + 2822.
For k = 6 and m = 6, we have the impressive 246 + 236 + 196 + 176 + 56 + 36 = 177 - 4.
For k = 6 and m = 7, we have 27 + 27 + 27 + 27 + 27 + 27 = 37 - 1419.
Note that there is a general solution in the case k = 2 and m = 2 for any n, as follows. Choose a pair of numbers p and q such that p is even and q is odd and gcd(p,q) = 1. Let a = p + iq. Calculate an = x + iy. Then |x|2 + |y|2 = zn where z = p2 + q2. For example, we may take p = 2 and q = 1, so that z = 5. Then, for instance, (2 + i)7 = - 278- 29i, and we have 2782 + 292 = 57, as mentioned above. For n = 100, the values of x and y obtained in this way both have 35 digits, and for n = 257, they have 90 digits. As well as base 5, we can always generate non-trivial solutions for base 13 (= 22 + 32), 17 (= 42 + 12), etc. This result is obtained using the properties of the Euclidean field Q(i) in algebraic number theory (for which, see [17]).
If we consider (2+i)n = xn + iyn , so that |xn|2 + |yn|2 = 5n, we may use the recursive definition given by setting x0 = 1, y0 = 0, which makes sense since 12 + 02 = 50, and then the equations xn = 2xn- 1 - yn- 1 and yn = 2yn- 1 + xn- 1 . Similar recursive definitions are easily derived for other bases using the same starting parameters.
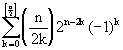
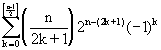
Alternatively, the standard series expansion (2+i)n = 2n + n2n- -1i + .... + in gives
real coefficient xn = ![]()
imaginary coefficient yn = ![]()
From this is is obvious that if n is even, xn is odd and yn is even, and when n is odd, xn is even and yn is odd.
The best estimates for S(m,n) based on the above data are presented in the following table. An asterisk indicates that equality has not been proved.
|
n\m |
2 |
3 |
4 |
5 |
6 |
7 |
|
2 |
2 |
2 |
3 |
3 * |
3 * |
4 * |
|
3 |
2 |
3 |
3 * |
4 * |
9 * |
7 * |
|
4 |
2 |
3 * |
3 |
6 * |
|
|
|
5 |
2 |
3 * |
4 * |
4 * |
|
|
|
6 |
2 |
3 |
4 * |
6 * |
9 * |
|
|
7 |
2 |
4 * |
4 * |
7 * |
10 * |
|
Table 4.1
Additionally, for m and n with no d = 0 solution we give best error margins as a summary of what has been presented above.
|
e(2,4,2) = 1 |
|
|
|
|
|
e(2,5,2) £ 2 |
|
|
|
|
|
e(2,6,2) £ 1 |
|
|
|
|
|
e(2,7,2) £ 7 |
e(3,7,2) £ 4 |
|
|
|
|
e(2,3,3) = 1 |
|
|
|
|
|
e(2,4,3) £ 5 |
|
|
|
|
|
e(2,5,3) £ 7 |
e(3,5,3) £ 3 |
|
|
|
|
e(2,6,3) £ 3 |
e(3,6,3) £ 2 |
e(4,6,3) £ 3 |
e(5,6,3) £ 2 |
e(6,6,3) £ 3 |
|
e(2,7,3) £ 9 |
e(3,7,3) £ 8 |
e(4,7,3) £ 7 |
e(5,7,3) £ 6 |
e(6,7,3) £ 1 |
|
e(2,3,4) £ 3 |
|
|
|
|
|
e(2,4,4) £ 46 |
|
|
|
|
|
e(2,5,4) £ 12 |
e(3,5,4) £ 3 |
e(4,5,4) £ 3 |
e(5,5,4) £ 1 |
|
|
e(2,6,4) £ 16 |
e(3,6,4) £ 15 |
e(4,6,4) £ 10 |
e(5,6,4) £ 3 |
e(6,6,4) £ 1 |
|
e(2,7,4) £ 86 |
e(3,7,4) £ 22 |
e(4,7,4) £ 16 |
e(5,7,4) £ 7 |
e(6,7,4) £ 9 |
|
e(2,3,5) £ 2 |
|
|
|
|
|
e(2,4,5) £ 65 |
e(3,4,5) £ 1 |
|
|
|
|
e(2,5,5) £ 12 |
e(3,5,5) £ 18 |
|
|
|
|
e(2,6,5) £ 115 |
e(3,6,5) £ 51 |
e(4,6,5) £ 13 |
e(5,6,5) £ 4 |
e(6,6,5) £ 7 |
|
e(2,7,5) £ 13 |
e(3,7,5) £ 113 |
e(4,7,5) £ 39 |
e(5,7,5) £ 38 |
e(6,7,5) £ 37 |
|
e(2,3,6) = 1 |
|
|
|
|
|
e(2,4,6) £ 23 |
e(3,4,6) £ 7 |
|
|
|
|
e(2,5,6) £ 53 |
e(3,5,6) £ 41 |
e(4,5,6) £ 2 |
e(5,5,6) £ 1 |
|
|
e(2,6,6) £ 601 |
e(3,6,6) £ 219 |
e(4,6,6) £ 430 |
e(5,6,6) £ 299 |
e(6,6,6) £ 3 |
|
e(2,7,6) £ 278 |
e(3,7,6) £ 345 |
e(4,7,6) £ 217 |
e(5,7,6) £ 89 |
e(6,7,6) £ 39 |
|
e(2,3,7) £ 2 |
e(3,3,7) £ 1 |
|
|
|
|
e(2,4,7) £ 14 |
e(3,4,7) £ 2 |
|
e(5,4,7) £ 1 |
|
|
e(2,5,7) £ 139 |
e(3,5,7) £ 7 |
e(4,5,7) £ 75 |
e(5,5,7) £ 2 |
|
|
e(2,6,7) £ 30 |
e(3,6,7) £ 29 |
e(4,6,7) £ 28 |
e(5,6,7) £ 13 |
e(6,6,7) £ 4 |
|
e(2,7,7) £ 1931 |
e(3,7,7) £ 1803 |
e(4,7,7) £ 1675 |
e(5,7,7) £ 1547 |
e(6,7,7) £ 1419 |
For some combinations of m and n, it is obvious that the brute force method is inadequate for providing solutions when d = 0. In this case, we look for solutions of equation 4.2 using the decomposition algorithm. Thus we have
|
s(5,4) £ 5 |
(22,22,15,12,4,1)5 = 584 |
|
|
|
(34,29,22,14,4,3)5 = 924 |
|
|
|
(39,22,21,14,3,1)5 = 1004 |
|
|
|
(40,17,10,10,8,6)5 = 1014 |
|
|
|
(40,34,33,32,15,12)5 = 1224 |
|
|
|
(47,38,29,28,21,18)5 = 1374 |
|
|
|
(54,29,10,6,4,3)5 = 1484 |
|
|
|
(54,28,26,20,17,6)5 = 1494 |
|
|
|
(55,33,22,12,10,9)5 = 1534 |
|
|
|
(54,36,33,27,21,4)5 = 1554 |
|
|
|
(61,24,19,4,2,1)5 = 1714 |
|
|
|
to x = 200 for k £ 6 |
|
|
|
(185,169,109,46,1)5 = 7804 |
|
|
|
(207,126,103,59,6)5 = 8074 |
|
|
|
to x = 1045 for k £ 5 |
|
|
|
to x = 1045 for k £ 4 |
|
|
s(5,6) £ 6 |
(19,12,11,10,1,1)5 = 126 |
|
|
|
(119,81,46,41,24,14)5 = 556 |
|
|
|
(156,140,120,86,74,9)5 = 756 |
|
|
|
(181,157,128,122,47,31)5 = 846 |
|
|
|
(217,198,172,144,71,48)5 = 1006 |
|
|
|
to x = 100 for k £ 6 |
|
|
|
to x = 126 for k £ 5 |
|
|
s(5,7) £ 5 |
(15,15,14,8,6,2,1,1)5 = 87 |
(k = 8) |
|
|
(20,16,13,11,4,4,1)5 = 97 |
(k = 7) |
|
|
(35,24,18,13,5,2)5 = 137 |
(k = 6) |
|
|
(107,106,103,80,50,31)5 = 337 |
(k = 6) |
|
|
(130,123,101,76,30,26)5 = 367 |
(k = 6) |
|
|
to x = 37 for k £ 6 |
|
|
|
(505,315,266,212,115)5 = 877 |
(k = 5) |
|
|
to x = 89 for k £ 5 |
|
|
s(6,3) £ 7 |
(13,11,10,5,5,5,2,2)6 = 1973 |
(k = 8) |
|
|
(30,24,9,9,3,3,1)6 = 9733 |
(k = 7) |
|
|
to x = 4460 for k £ 7 |
|
|
|
to x = 9662 for k £ 6 |
|
|
s(6,4) £ 7 |
(13,13,7,5,5,5,5,3)6 = 564 |
(k = 8) |
|
|
(18,16,9,8,8,8,6,6)6 = 854 |
(k = 8) |
|
|
(92,66,57,50,48,22,8)6 = 9314 |
(k = 7) |
|
|
(84,84,62,56,52,32,9)6 = 9494 |
(k = 7) |
|
|
to x = 1084 for k £ 7 |
|
|
|
to x = 1605 for k £ 6 |
|
|
s(6,5) £ 7 |
(17,17,14,11,11,10,7,3,1,1)6 = 365 |
(k = 10) |
|
|
(30,26,23,22,18,16,14,1,1)6 = 675 |
(k = 9) |
|
|
(29,29,26,25,19,13,13,13)6 = 715 |
(k = 8) |
|
|
(90,85,68,68,57,54,19)6 = 2595 |
(k = 7) |
|
|
to x = 315 for k £ 7 |
|
|
|
to x = 503 for k £ 6 |
|
|
s(6,6) £ 7 |
(1077,894,702,474,402,234,74)6 = 11416 |
(Lander + Parkin) |
|
s(6,7) £ 8 |
(19,19,18,17,14,14,11,11,5,1)6 = 157 |
(k = 10) |
|
|
(29,16,7,7,7,7,7,5,5)6 = 187 |
(k = 9) |
|
|
(34,32,27,27,15,5,5,5,3)6 = 237 |
(k = 9) |
|
|
(66,62,62,56,54,52,23,13,13)6 = 437 |
(k = 9) |
|
|
to x = 48 for k £ 9 |
|
|
|
(112,95,81,73,20,8,7,7)6 = 617 |
(k = 8) |
|
|
to x = 61 for k £ 8 |
|
|
|
to x = 80 for k £ 7 |
|
|
s(7,3) £ 7 |
(5,4,3,2,2,2,2,2)7 = 463 |
(k = 8) |
|
|
(8,4,4,4,2,2,2,1)7 = 1293 |
(k = 8) |
|
|
(16,16,11,9,6,5,4,2)7 = 8253 |
(k = 8) |
|
|
(23,22,16,16,11,5,4,1)7 = 18623 |
(k = 8) |
|
|
to x = 2000 for k £ 8 |
|
|
|
(20,7,2,2,2,2,1)7 = 10863 |
(k = 7) |
|
|
(49,49,37,20,17,17,15)7 = 113283 |
(k = 7) |
|
|
(49,49,39,36,25,21,4)7 = 116473 |
(k = 7) |
|
|
to x = 12930 for k £ 7 |
|
|
|
to x = 17600 for k £ 6 |
|
|
s(7,4) £ 8 |
(13,12,9,9,5,4,3,2,2,1)7 = 1024 |
(k = 10) |
|
|
(16,13,13,13,13,9,9,9,4,1)7 = 1524 |
(k = 10) |
|
|
to x = 400 for k £ 10 |
|
|
|
(37,30,29,26,18,18,17,16,5)7 = 6164 |
(k = 9) |
|
|
(39,32,31,30,21,20,5,4,2)7 = 6884 |
(k = 9) |
|
|
(38,38,35,31,16,16,16,10,7)7 = 7534 |
(k = 9) |
|
|
(50,30,18,15,15,15,11,8,1)7 = 9474 |
(k = 9) |
|
|
to x = 1146 for k £ 9 |
|
|
|
(64,57,48,36,25,12,11,3)7 = 16284 |
(k = 8) |
|
|
(65,57,41,41,41,38,19,14)7 = 16584 |
(k = 8) |
|
|
to x = 1706 for k £ 8 |
|
|
|
to x = 2938 for k £ 7 |
|
|
s(7,5) £ 7 |
(14,12,12,12,11,11,8,7,1,1,1)7 = 485 |
(k = 11) |
|
|
(23,18,16,13,12,12,10,9,8,6)7 = 855 |
(k = 10) |
|
|
to x = 140 for k £ 10 |
|
|
|
(46,45,32,23,12,7,6)7 = 2435 |
(k = 7) |
|
|
(93,88,79,44,12,12,3)7 = 6555 |
(k = 7) |
|
|
to x = 245 for k £ 9 |
|
|
|
to x = 330 for k £ 8 |
|
|
|
to x = 740 for k £ 7 |
|
|
|
to x = 1210 for k £ 6 |
|
|
s(7,6) £ 9 |
(16,16,13,12,12,12,11,8,6,4,3,3,2,1,1)7 = 306 |
(k = 15) |
|
|
(20,17,16,14,14,9,8,6,4,3,3,2,2,2)7 = 366 |
(k = 14) |
|
|
(20,19,14,14,12,10,8,7,7,6,6,1,1)7 = 376 |
(k = 13) |
|
|
(24,17,17,16,15,15,15,13,13,9,8,7)7 = 436 |
(k = 12) |
|
|
(35,24,24,19,19,13,12,11,7,4,1)7 = 656 |
(k = 11) |
|
|
(40,33,31,28,28,28,28,26,26,6)7 = 826 |
(k = 10) |
|
|
(57,44,34,33,30,29,29,25,24,11)7 = 1166 |
(k = 10) |
|
|
(54,51,49,44,43,42,42,32,17,4)7 = 1266 |
(k = 10) |
|
|
to x = 134 for k £ 10 |
|
|
|
(55,42,36,29,28,24,23,15,15)7 = 1116 |
(k = 9) |
|
|
(66,60,52,43,38,27,25,4,1)7 = 1466 |
(k = 9) |
|
|
to x = 170 for k £ 9 |
|
|
|
to x = 244 for k £ 8 |
|
|
s(7,7) £ 8 |
(90,85,83,64,58,53,35,12)7 = 1027 |
(Lander + Parkin) |
We use these additional results to augment Table 4.1, as follows.
|
n\m |
2 |
3 |
4 |
5 |
6 |
7 |
|
2 |
2 |
2 |
3 |
3 * |
3 * |
4 * |
|
3 |
2 |
3 |
3 * |
4 * |
7 * |
7 * |
|
4 |
2 |
3 * |
3 |
5 * |
7 * |
8 * |
|
5 |
2 |
3 * |
4 * |
4 * |
7 * |
7 * |
|
6 |
2 |
3 |
4 * |
6 * |
7 * |
9 * |
|
7 |
2 |
4 * |
4 * |
5 * |
8 * |
8 * |
Table 4.2
where, as well as filling in the gaps, upper limits on the values of s(5,4) and s(5,7) have been reduced.